_________________________________________________________________________________________________________________________________________________________________________________________________________________________________________________________________________________

新冠肺炎中西藏为何被称为最后的净土?韩国梨花大学首证:红景天可有效抑制冠状病毒繁殖

首页    新闻资讯    新冠肺炎中西藏为何被称为最后的净土?韩国梨花大学首证:红景天可有效抑制冠状病毒繁殖

此次新冠肺炎来势汹汹,西藏在之前被称为全国“最后一片净土”。至目前为止,也仅发现一例感染者,且其在藏期间近距离接触过的人员也未出现任何相关感染症状。

 

 

人口流动因素之外,也让一些学者不禁开始考虑这一现象与进藏人员大量服用红景天是否有关?

 

韩国梨花大学证实:红景天有效抑制冠状病毒繁殖

 

韩国首尔梨花大学药学院和药物科学研究生院Dong Hae Shin和Mi-Sun Kim教授在酶抑制与药物化学杂志发表关于抗冠状病毒成分最新研究。研究发现黄酮类化合物对SARS-CoV 3CL蛋白酶的抑制作用,其抗CoVs被认为是由抑制3C蛋白酶(3CLpro)直接引起的。

 

 

3C-like蛋白酶是2019年新型冠状病毒(NCP,2019-nVOC)、非典病毒(SARS-COV)、中东呼吸综合征(MERS-CoV)等冠状病毒繁殖过程中极为重要的蛋白酶。抑制3C-like蛋白酶的活性,可以有效控制冠状病毒的繁殖

结果表明,黄酮类物质能有效地阻断SARS冠状病毒3CLpro的酶活性。

 

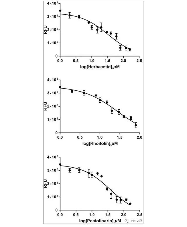
Dong Hae Shin和Mi-Sun Kim教授通过FRET方法对64种黄酮类物质进行了对比分析实验,绘制浓度与荧光抑制率的关系。

 

(图为各抑制化合物对SARS冠状病毒3CLpro的抑制作用与对照组比较)

 

韩国梨花大学药学院从众多天然产物中筛选到红景天中的红景天素和草质素可以抑制3C-like蛋白酶的活性,其半数抑制浓度分别达到33.17, 27.45μM,高于其他黄酮类化合物的活性。此项研究从分子层面发现了红景天抗冠状病毒的科学证据。

 

(参考文献:Jo S, Kim S, Shin D H, et al. Inhibition of SARS-CoV 3CL protease by flavonoids[J]. Journal of enzyme inhibition and medicinal chemistry, 2020, 35(1): 145-151.)

 

国内研究

 

山东中医药大学袁琦,侯林等人研发发现红景天甲醇提取物在抗病毒方面具有明显的抑制作用。

 

福建医科大学林文宏,卢海燕等人发现红景天苷对肺组织炎症因子及免疫指标具有积极的影响。

 

红景天是我国传统的药用植物之一,药用历史非常悠久!

中国传统药用植物                  

红景天(学名:Rhodiola rosea L.)大多分布在西北半球的高原高寒地带(如中国西藏),是一种珍稀的野生植物。由于其生长环境恶劣,因而具有很强的生命活力和适应性。

红景天的药用历史悠久,而大部分民众对其最深刻的印象都是“西藏特产”、“入藏必备”、“缓解高原反应”……

经过长期大量的临床验证,证实红景天具有强心作用,能使机体的耗氧迅速降低,同时增加血液的载氧能力,增加机体的抗病能力,使病变组织迅速修复。

此次重症患者多在发病一周后出现呼吸困难和/或低氧血症,而红景天的典型功效即是抗缺氧、强心作用!

在古时医书上也早有将红景天应用于相关症状的治疗记载:

“红景天活血清肺、止咳退烧、止痛,用于治疗肺炎、气管炎、身体虚弱、全身乏力、胸闷、难以透气、嘴唇和手心发紫。”

——《晶珠本草》

“性平、味涩、善润肺、能补肾、利气养血、主周身乏力、胸闷、 恶心、体虚诸症。”

——《四部医典》

中医药抗击新肺炎的历程

2020年2月6日,据媒体报道,在湖北省中西医结合医院,18位新型冠状病毒感染的肺炎患者痊愈出院。这是疫情发生以来,通过中医介入治疗后患者出院最多的一次,也是疫情发生以来单次出院人数最多的一次。

2020年1月21日,国家中医药管理局党组召开会议,会议制定了:推动形成中西医协同的防控机制。研究提出中医药诊疗方案,纳入新一版新型冠状病毒感染的肺炎诊疗方案并发布实施。中医药要及早介入,中西医结合救治重症和危重症患者,发挥中医药独特作用等方针。

2020年2月5日,卫计委发布《新型冠状病毒感染的肺炎诊疗方案(试行第五版)》关于使用中医治疗的方案。

从SARS到这次的新肺炎,无数医药界人士都投身抗击疫情的阻击战中。尤其是拥有几千年抗击疫病传承的中医药界更是纷纷献计献策,试图在中药博大的医药库中寻找有效预防和抗击疫情的药物。

新型肺炎诊疗方案从第一版到第五版都肯定了中医的优势,意味着中医药得到认可将成为抗冠状病毒的主力军!

在《神农本草经》中对红景天有“轻身益气、不老延年”,且“主养命以应天,无毒,多服久服不伤人”的相关记载。意味着红景天不仅可以在对抗病毒中用于临床,还能作为一种日常性的提高身体免疫力食物。

天吉康晟从预防病毒及日常提高免疫力的角度开发出的红景天西洋参枸杞子胶囊,以藏区地道红景天为主料,严格按照GMP要求生产,疫情期间为您的健康保驾护航!

 

2020年2月15日 18:02
浏览量:460
收藏